Adli Tıp Kurumu Başkanlığı 1'i Rize İçin Olmak Üzere 50 Personel Alacak
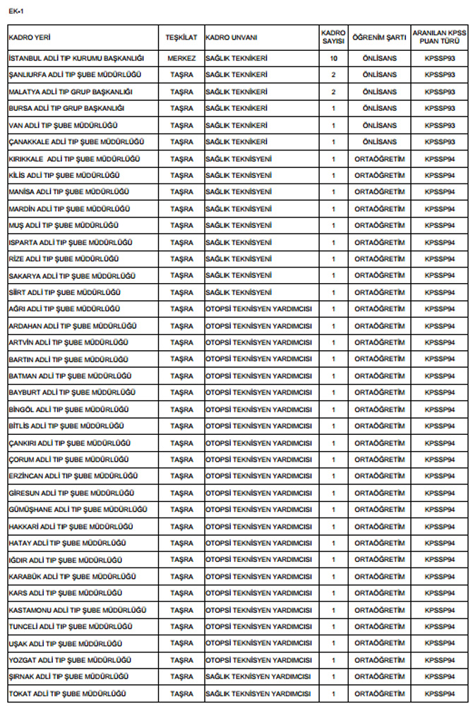
Adalet Bakanlığı Adli Tıp Kurumu Başkanlığı 7 sağlık teknikeri, 9 sağlık teknisyeni, 2 sağlık teknisyen yardımcısı ve 22 otopsi teknisyen yardımcısı kadrosu için Adli Tıp Kurumu Başkanlığınca yapılacak sözlü sınav sonucuna göre personel alımı yapılacağına dair ilanı yayınladı. İlanda, Rize Adli Tıp Şube Müdürlüğü için 1 adet sağlık teknisyeni alınacağı belirtildi.
İLAN
ADALET BAKANLIĞI
Adli Tıp Kurumu Başkanlığından
1)Adli Tıp Kurumu merkez ve taşra teşkilatında 657 sayılı Devlet Memurları Kanunu’nun 4/A maddesi uyarınca istihdam edilmek üzere;
EK-1’deki listede yeri, unvanı ve niteliği belirtilen 17 sağlık teknikeri, 9 sağlık teknisyeni, 2 sağlık teknisyen yardımcısı ve 22 otopsi teknisyen yardımcısı kadrosu için Adli Tıp Kurumu Başkanlığınca yapılacak sözlü sınav sonucuna göre personel alımı yapılacaktır
2) Adli Tıp Kurumu Başkanlığınca yapılacak sözlü sınavlara, 2014 yılı Kamu Personeli Seçme Sınavlarına sağlık teknikeri kadroları için KPSSP93 (Önlisans), sağlık teknisyeni, otopsi teknisyen yardımcısı ve sağlık teknisyen yardımcısı kadroları için KPSSP94 (Ortaöğretim) puan türünden giren adaylar başvurabilecektir. Başvuruda bulunacakların Adalet Bakanlığı Memur Sınav, Atama ve Nakil Yönetmeliği’nin 5 ve 6’ncı maddelerinde yazılı olan şartlar ile bu ilanın 4’üncü maddesinde belirtilen şartları taşımaları gerekmektedir.
3) Sözlü sınavlara, merkezi sınavda alınan puanlar esas olmak kaydıyla, en yüksek puandan başlamak üzere her kadro için ilân edilen kadro sayısının 5 katı kadar aday çağrılacaktır.
4)Başvuruda bulunacakların aşağıdaki genel ve özel şartları taşımaları gerekmektedir.
I) Genel şartlar:
a) Türkiye Cumhuriyeti vatandaşı olmak,
b) Son başvuru günü olan 10.06.2016 tarihinde 657 sayılı Kanunun 40’ıncı maddesindeki yaş şartlarını taşımak ve merkezî sınavın yapıldığı yılın ocak ayının birinci günü itibarıyla 35 yaşını bitirmemiş olmak. (01 Ocak 1979 ve sonrası doğumlular müracaat edebilecektir.)
c) Askerlikle ilgisi bulunmamak veya askerlik çağına gelmemiş olmak, askerlik çağına gelmiş ise muvazzaf askerlik hizmetini yapmış yahut ertelenmiş ya da yedek sınıfa geçirilmiş olmak,
ç) 657 sayılı Kanunun değişik 48/1-A/5 bendinde sayılan suçlardan mahkûm olmamak,
d) 657 sayılı Kanunun 53’üncü maddesi hükümleri saklı kalmak kaydı ile görevini devamlı yapmasına engel olabilecek akıl hastalığı bulunmamak,
e) Kamu haklarından mahrum olmamak,
f)Son müracaat tarihi itibarıyla atanılacak kadro için gerekli öğrenim niteliğini taşıyor olmak.
II) Özel şartlar:
Sağlık Teknikeri (Merkez Teşkilatı) kadrosunda istihdam edilebilmek için; yüksek öğretim kurumlarının adli tıp teknikerliği, otopsi yardımcılığı, adli tıp önlisans programlarından herhangi birinden mezun olmak. 2014 yılı Kamu Personeli Seçme Sınavlarına KPSSP93 puan türünden (Önlisans) girmiş olmak. (Sağlık teknikeri kadrosundaki personel, Adli Tıp Kurumu’nda ölü muayenesi ve otopsi işlemlerinde görev alacaktır. )
Sağlık Teknikeri (Taşra Teşkilatı) kadrosunda istihdam edilebilmek için; yüksek öğretim kurumlarının adli tıp teknikerliği, otopsi yardımcılığı, adli tıp, patoloji laboratuvar, pataloji laboratuvar teknikleri önlisans programlarından herhangi birinden mezun olmak. 2014 yılı Kamu Personeli Seçme Sınavlarına KPSSP93 puan türünden (Önlisans) girmiş olmak. (Sağlık teknikeri kadrosundaki personel, Adli Tıp Kurumu’nda ölü muayenesi ve otopsi işlemlerinde görev alacak ve atanacak personelden patoloji laboratuvar, pataloji laboratuvar teknikleri önlisans programlarından mezun olanlar atandığı yerdeki görevine başlamadan önce İstanbul’da bulunan Adli Tıp Kurumu merkez teşkilatında en az iki ay süre ile hizmet içi eğitime tabi tutulacaktır. )
Sağlık Teknisyeni (Taşra Teşkilatı) kadrosunda istihdam edilebilmek için; ortaöğretim kurumlarının acil sağlık hizmetleri alanı ve acil tıp teknisyenliği alanlarının birinden mezun olmak. 2014 yılı Kamu Personeli Seçme Sınavlarına KPSSP94 puan türünden (Ortaöğretim) girmiş olmak. (Sağlık teknisyeni kadrosundaki personel, Adli Tıp Kurumu’nda ölü muayenesi ve otopsi işlemlerinde görev alacak ve atandığı yerdeki görevine başlamadan önce İstanbul’da bulunan Adli Tıp Kurumu merkez teşkilatında en az iki ay süreyle hizmet içi eğitime tabi tutulacaktır.)
Sağlık Teknisyen Yardımcısı (Taşra Teşkilatı) kadrosunda istihdam edilebilmek için; ortaöğretim kurumlarının acil sağlık hizmetleri alanı ve acil tıp teknisyenliği alanlarının birinden mezun olmak. 2014 yılı Kamu Personeli Seçme Sınavlarına KPSSP94 puan türünden (Ortaöğretim) girmiş olmak. (Sağlık teknisyen yardımcısı kadrosundaki personel, Adli Tıp Kurumu’nda ölü muayenesi ve otopsi işlemlerinde görev alacak ve atandığı yerdeki görevine başlamadan önce İstanbul’da bulunan Adli Tıp Kurumu merkez teşkilatında en az iki ay süreyle hizmet içi eğitime tabi tutulacaktır.)
Otopsi Teknisyen Yardımcısı (Taşra Teşkilatı) kadrosunda istihdam edilebilmek için; ortaöğretim kurumlarının acil sağlık hizmetleri alanı ve acil tıp teknisyenliği alanlarının birinden mezun olmak. 2014 yılı Kamu Personeli Seçme Sınavlarına KPSSP94 puan türünden (Ortaöğretim) girmiş olmak. (Otopsi teknisyen yardımcısı kadrosundaki personel, Adli Tıp Kurumu’nda ölü muayenesi ve otopsi işlemlerinde görev alacak ve atandığı yerdeki görevine başlamadan önce İstanbul’da bulunan Adli Tıp Kurumu merkez teşkilatında en az iki ay süreyle hizmet içi eğitime tabi tutulacaktır.)
5) Başvuru yeri ve şekli:
Başvuruların, sözlü sınavın yapılacağı İstanbul Adli Tıp Kurumu Başkanlığı’na bizzat veya bir yakınları aracılığıyla yapılması gerekmektedir. Posta ile veya diğer iletişim araçlarıyla yapılan başvurular kabul edilmeyecektir.
Adaylar her bir kadro ve unvan için yalnızca bir adet başvuru yapabileceklerdir. Aynı adayın birden fazla kadro ve unvan için başvuru yapması halinde tüm başvuruları geçersiz sayılacak, bu şekilde sınava girenlerin kazanmış olsalar dahi atamaları yapılmayacaktır.
6) Başvuru tarihi:
Başvurular 30.05.2016 Pazartesi günü başlayıp, 10.06.2016 Cuma günü mesai saati bitiminde sona erecektir. Başvuru sonuçları ve sıralama listeleri 17.06.2016 tarihinde açıklanacaktır.
7) Başvuru için gerekli belgeler:
a)Başvuru formu EK-2,
b) Öğrenim belgesi fotokopisi
c)KPSS sınav sonuç belge fotokopisi
d) Nüfus cüzdan fotokopisi
8) Başvuruların değerlendirilmesi :
Başvuruda bulunan ve başvuruları kabul edilen adayların öğrenim durumuna göre KPSSP93 veya KPSSP94 puanları esas alınarak en yüksek puandan başlayarak en düşük puana göre sıralama yapılacaktır. Bu sıralama sonucunda ilan edilen kadro sayısının 5 katı kadar sıralamada yüksek sırada bulunan aday, sözlü sınava girmeye hak kazanacaktır.
Sıralamalar kadro yeri ve ünvan bazında ayrı ayrı yapılacaktır. (Örn: Şanlıurfa sağlık teknikeri kadrosu için ayrı Malatya sağlık teknikeri kadrosu için ayrı sıralama yapılacaktır.)
Başvuru ve işlemler sırasında gerçeğe aykırı beyanda bulunduğu veya eksik evrak verdiği sonradan tespit edilen adayların müracaatları kabul edilmeyecek, atamaları yapılmış olsa dahi iptal edilecektir. Bu durumdaki adaylar hakkında genel hükümlere göre yasal işlem yapılacaktır.
Başvuru sonuçları ve sınav sonuçları Adli Tıp Kurumu’nun internet sitesinden yayınlanacaktır. Yayımlanacak duyuru, ilan ve bilgilendirmeler tebligat mahiyetinde olacağından, adaylara ayrıca bir tebligat yapılmayacaktır.
9) Sözlü Sınavın Şekli ve Konuları:
Atama yapılacak kadronun gerektirdiği meslekî bilgi 40,
Atatürk İlkeleri ve İnkılâp Tarihi 20,
Genel kültür 20,
Bir konuyu kavrama ve ifade yeteneği 20,
puan olmak üzere; toplam 100 puan üzerinden değerlendirme yapılacaktır.Adayın atanacağı kadronun gerektirdiği mesleki bilgi tespit edilirken; atanacağı kadronun gerektirdiği teknik bilgiye ilişkin konuların bir veya birkaçından soru sorulacaktır. Adayların sözlü sınavda başarılı sayılabilmeleri için 100 tam puan üzerinden en az 70 puan almaları gerekmektedir.
10)Sözlü sınav yeri, tarihi ve saati :
İlan edilen tüm kadrolar için sözlü sınavlar Adli Tıp Kurumu Başkanlığı’nın İstanbul Yenibosna’daki merkez binasında 20.06.2016 – 24.06.2016 tarihleri arasında yapılacaktır. Belirtilen günlerde sözlü sınavların bitirilememesi halinde takip eden günlerde sınava devam edilecektir. Hangi kadrolar için hangi tarih ve saatlerde sözlü sınav yapılacağı, başvuru sonuçları ve sıralama listeleri birlikte ilan edilecektir.
11) Sonuçların açıklanması :
Nihai başarı listesi, adayların merkezi ve sözlü sınavda aldıkları puanların aritmetik ortalamasına göre en yüksek puandan başlayarak sıralanması suretiyle düzenlenecek ve sınav sonuçları 01.07.2016 tarihinde ilan edilecek olup, atanmaya hak kazanan adaylar 22.07.2016 günü mesai bitimine kadar aşağıdaki belirtilen belgeleri tamamlayarak Adli Tıp Kurumu Başkanlığı’na teslim edeceklerdir.
Atanmaya hak kazananlardan istenilecek belgeler :
- Sağlık Kurulu Raporu (son altı ay içerisinde sağlık raporu vermeye yetkili tam teşekküllü Devlet hastanesinden alınmış).
- Öğrenim Belgesinin Aslı veya Noter Tasdikli Sureti.
- Askerlik Durum Belgesi
- 4 Adet Fotoğraf (mevzuata uygun yeni çekilmiş).
- T.C. Kimlik Kartı Fotokopisi.
- Mal Bildirim Beyannamesi.
İLAN OLUNUR
Ekler:
1) EK-1
2) EK-2


