Rize ve Trabzon'da Acele Kamulaştırma Kararı Resmi Gazete'de
Yayınlanma:
Güncelleme:
Rize ve Trabzon'da bazı taşınmazların acele kamulaştırılmasına ilişkin kararlar Resmi Gazete'de yayımlandı.
Rize ve Trabzon'da bazı taşınmazların acele kamulaştırılmasına ilişkin Cumhurbaşkanı kararları Resmi Gazete'de yer aldı.
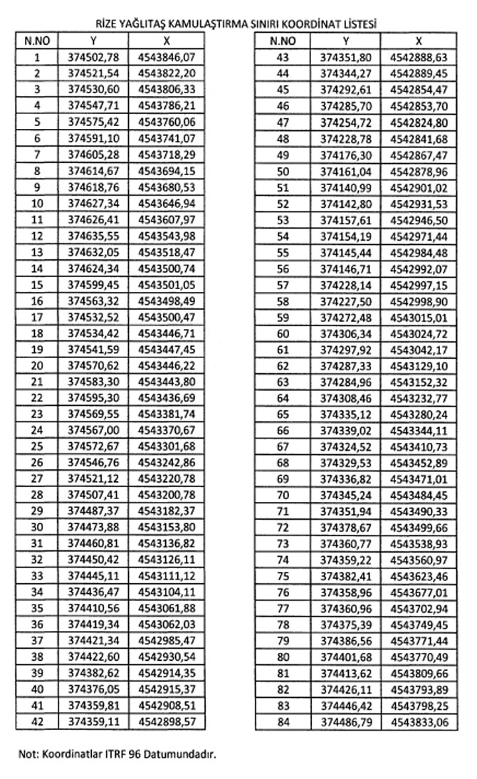
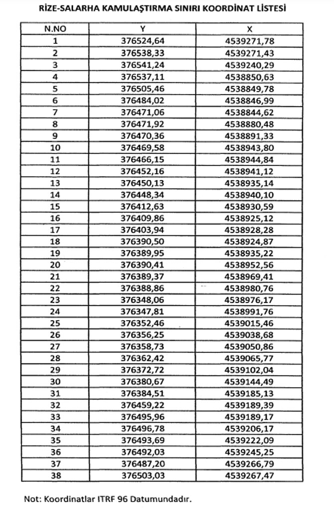
Cumhurbaşkanı Recep Tayyip Erdoğan imzasıyla yayımlanan kararlara göre, Rize'nin Yağlıtaş Mahallesi ile Salarha beldesine bağlı Kokulukaya Mahallesi sınırları içerisinde yer alan bazı taşınmazların Toplu Konut İdaresi Başkanlığı (TOKİ) tarafından acele kamulaştırılmasına karar verildi.
Trabzon'un Çaykara ilçesine bağlı Işıklı mahallesi sınırları içerisinde bulunan bazı taşınmazların Kentsel Dönüşüm ve Gelişim Proje Alanı kapsamında Çaykara Belediye Başkanlığı tarafından acele kamulaştırılması gerçekleştirilecek.







Rize