Rize’de Acele Kamulaştırma Kararı
Yayınlanma:
Güncelleme:
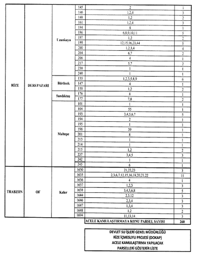
Rize İçmesuyu Projesi (DOKAP) kapsamında "Rize Civar Yerleşimler 2. Kısım İçmesuyu İsale Hattı"nın yapımı amacıyla bazı taşınmazların DSİ tarafından acele kamulaştırılması kararlaştırıldı.
Rize İçmesuyu Projesi (DOKAP) kapsamında "Rize Civar Yerleşimler 2. Kısım İçmesuyu İsale Hattı"nın yapımı amacıyla bazı taşınmazların acele kamulaştırılması kararlaştırılmasına ilişkin Cumhurbaşkanı Kararı, 5 Temmuz tarihli Resmi Gazete'de yayımlandı.
Buna göre, Rize İçmesuyu Projesi (DOKAP) kapsamındaki "Rize Civar Yerleşimler 2. Kısım İçmesuyu İsale Hattı"nın yapımı amacıyla Rize Merkez ile Derepazarı, İyidere, Kalkandere ilçeleriyle Trabzon'un Of ilçesinde bulunan bazı taşınmazların Devlet Su İşleri Genel Müdürlüğü tarafından acele kamulaştırılmasına 2942 sayılı Kamulaştırma Kanununun 27. maddesi gereğince karar verildi.



Rize